Connor Kass

Math Coursework

Full Calculus Sequence

Chalkboard with Calculus

This is the standard Calculus 1-3 sequence offered by any college or university. Topics covered include limits, derivatives and integrals of single and multi-variable functions, sequences, series, Taylor series approximations, and applications.

Probability & Statistics

This was an intermediate level statistics class that covered basic probability theory and statistical functions and tests. Emphasis was also placed on using the programming language R to produce meaningful visualizations of data.

The first half of the class covered the basic properties of probability. We also learned about the difference between discrete and continuous random variables, their associated density functions, and common probability distributions using these random variables.

In the second half of the class, we learned about different statistical measures, including mean, variance, and standard deviation. We also learned about common statistical methods, including hypothesis testing, linear regression, and Analysis of Variance (ANOVA), which compares multiple groups against each other. We also learned about the dplyr and ggplot2 packages in R, which are used to wrangle and visualize data respectively.

For the final project in this class, I used R to do an in-depth analysis of a dataset on exoplanets, which are planets outside of our solar system.

Introduction to Higher Mathematics

In this class, I studied the methods and techniques which are used in advanced mathematics.

First, I learned about set theory and logic, which are the structure and language used in all higher mathematics. We learned how to create logical statements, how to negate those statements, and how to express statements with the proper mathematical symbols. I also had a brief introduction to combinatorics, which is the study of counting. I learned about the binomial coefficients, which correspond to the entries of pascals triangle and provide an easy way for calculating a polynomial of the form (a+b)n.

Next, I learned the different methods of proving statements. We first learned about direct proofs, which you assume some initial conditions and use those assumptions to prove the desired statement. For example, if you have a statement that says “A implies B”, then in direct proof you assume A is true and use the assumption, mathematical axioms, and other proved statements to prove that B is also true. I also learned about proof by contrapostive. The contrapositive of “A implies B” is “not B implies not A” and this happens to be logically equivalent to the original statement. I also learned proof by contradiction, in which you assume that the statement that you’re trying to prove is false. If you can find a contradiction in the argument, then assuming that the original statement is false is wrong, thus it must be true. The last technique that we learned was proof by Induction, which is useful for proofs where there is a natural numbering that exists. In Induction, you prove some small base cases and then you prove that k+1 is true assuming that k is true. If you can prove this, then by the Principle of Mathematical Induction, the argument holds for the entire set of natural numbers, completing the proof. I also learned how to disprove statements, which is typically done with a counterexample.

At the end of the class, I learned about relations and functions. A relation can express any sort of relationship between two mathematical objects. Relations can have three properties: reflexivity, symmetry, and transitivity. If a relation has all these properties, then it is called as equivalence relation. A common example of an equivalence relation is the equal sign. A function is just a special type of relation that maps elements from one set to another. Functions can have two important properties: injectivity and surjectivity. An injective function is a function such that no two inputs have the same output. A surjective function is a function that maps onto the entire set of possible outputs. A function that is both injective and surjective is called a bijection. Bijections are very useful in mathematics because they can be used to prove that two sets have the same size.

Linear Algebra

Linear Algebra Problem

This was a proof-based course. At first, I learned about how matrices, which are just arrays of numbers, can be used to easily solve systems of equations. I learned about Elementary Row Operations, which are operations that manipulate the matrix but preserve the solutions to the underlying system of equations. There exists an algorithm where these operations can be used to convert a matrix into what’s known as its Row-echelon Form, which makes finding the solutions to the system of equations very easy.

Then I learned about fields, which are a mathematical structure with two operations, often addition and multiplication, that satisfy a series of axioms that allow systems of equations to be solved in that system. The most common example of a field is the real numbers with addition and multiplication, but complex numbers are also a field and there are also fields that have a finite number of elements.

Next, I learned about vector spaces, which is another mathematical structure that is built using a field. A vector space consists of vectors, which are elements that can be added together via vector addition or be multiplied by a scalar element from the underlying field. If a system with vectors and scalars satisfies another series of axioms, then it is considered a vector space. The most common example of a vector space are real vectors in 3D-space, but other vector spaces exist as well.

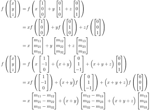
I then learned about linear transformations, which are functions that map vectors from one vector space to another, sometimes the same, vector space. A vector function must satisfy three properties to be a linear transformation. I learned that any linear transformation, no matter its form, can be represented as the multiplication of a vector by a matrix. I also learned about isomorphisms, which are bijective linear transformations. It turns out that vector spaces that have an isomorphism between them have the “same” structure. More specifically, it means that they have the same dimension, which has the same meaning as dimensions in space but can also be generalized to more abstract vector spaces.

Junior MathTalk

As part of my capstone for the Math major, I collaborated with another student and wrote a research paper on a topic chosen by our advisor. We were given a paper about how to construct an infinite number of divisibility tests for certain numbers using a specific algorithm. These divisibility tests are a form of digit truncation, where the last digit is removed from the number and then some multiple of that final digit is added to the resulting number. It turns out that the original number is divisible by the given integer if and only if the resulting smaller number is also divisible by the same integer, which gives an easy divisibility test for larger numbers.

Along with summarizing the findings from the paper assigned by our advisor, we also conducted some of our own research that extended upon the results from the paper. In particular, my partner explored divisibility tests in other base systems, including binary, base 8, and hexadecimal. My partner found that for each base, there exists two types of divisibility tests where the digits of the number are added together, and the sum reveals whether the original number is also divisible by a given integer. In my research, I explored divisibility tests for polynomials. I found an easy divisibility test for cubic polynomials by quadratic polynomials that have no real factors, which can be thought of as “prime” polynomials.

After completing the paper, my partner and I also presented our findings to the math faculty who read our paper beforehand and asked questions about our findings.

Graph Theory

Picture of a Graph

Graph Theory is an upper-level proof-based class that studies graphs. Unlike graphs seen in an algebra setting, these types of graphs are structures with vertices and edges. Vertices represent entities while an edge between two vertices represents some sort of relationship between those entities. Graphs have applications in many different settings, including computer science, biology, chemistry, physics, sociology, network analysis, and many more fields.

Instead of focusing on the applications of graph theory, this class focused more on deriving many of the key theorems used to characterize graphs. I learned about a variety of topics, including isomorphic graphs, which are graphs that have the same structure, trees, which are a special type of graph that have no cycles, as well as some algorithms associated with graphs, including growing spanning trees and finding paths through all of a graph’s vertices or edges.

As a proof-based class, I completed weekly homework assignments where I used some of the results and techniques we learned in class to prove other theorems. I also completed two research projects throughout the term, both of which were research papers. One of these research papers was to study and describe a famous graph from Graph Theory. The other paper was an in-depth study of a topic in Graph Theory. For this paper, I chose to study the chromatic polynomial, which is a polynomial function that describes for a given graph how many distinct proper colorings exist for that graph given a set of colors. A proper coloring of a graph is just coloring each of the vertices such that no two vertices that share an edge have the same color.

Top of Page